Logo
Explore Help
Register Sign In
zenon/master-thesis
1
0
Fork 0
You've already forked master-thesis
Code Issues Pull Requests Packages Projects Releases Wiki Activity
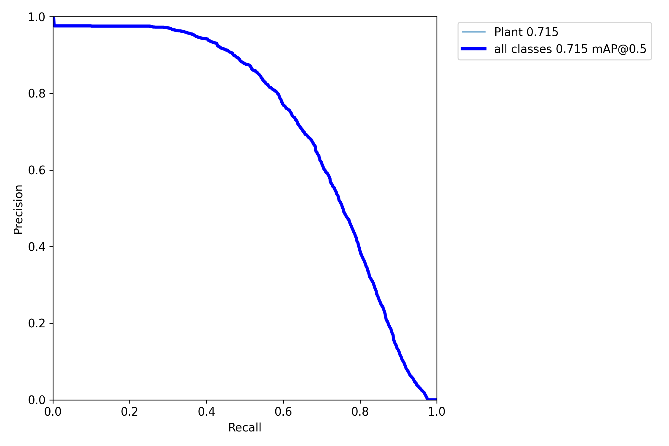
master-thesis/classification/detector/runs/test/exp/PR_curve.png
Tobias Eidelpes 9a0e20c6b2 Rename YOLO folder to detector
2023-02-28 18:01:55 +01:00

82 KiB
2250x1500px
Raw History

Powered by Gitea Version: 1.23.6 Page: 59ms Template: 8ms
English
Bahasa Indonesia Deutsch English Español Français Gaeilge Italiano Latviešu Magyar nyelv Nederlands Polski Português de Portugal Português do Brasil Suomi Svenska Türkçe Čeština Ελληνικά Български Русский Українська فارسی മലയാളം 日本語 简体中文 繁體中文(台灣) 繁體中文(香港) 한국어
Licenses API