Logo
Explore Help
Register Sign In
zenon/master-thesis
1
0
Fork 0
You've already forked master-thesis
Code Issues Pull Requests Packages Projects Releases Wiki Activity
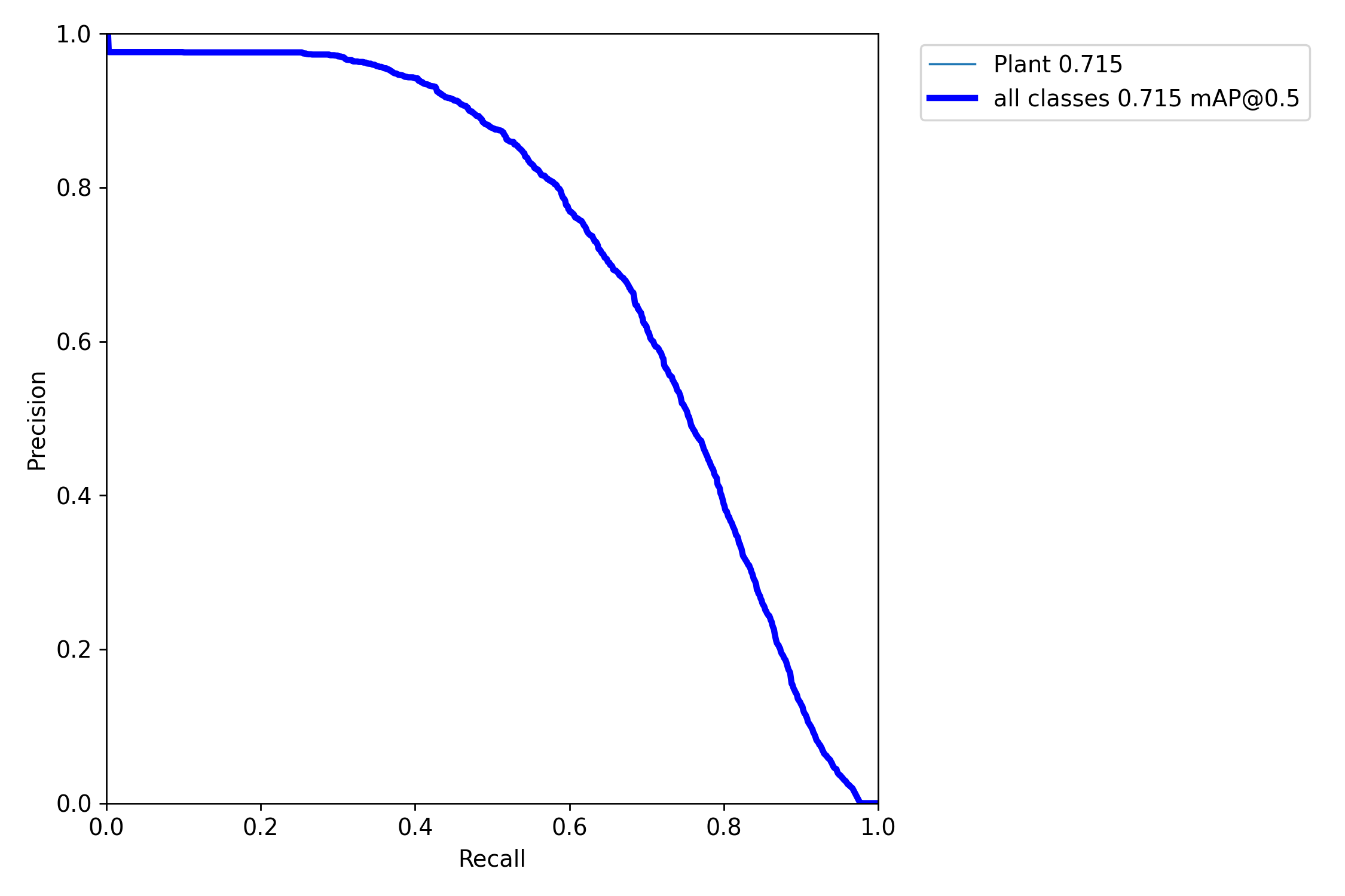
master-thesis/classification/yolo-second-run/runs/test/exp/PR_curve.png
Tobias Eidelpes cac68c6f52 Move code into different folder for packaging
2023-02-21 10:48:47 +01:00

82 KiB
2250x1500px
Raw History

Powered by Gitea Version: 1.23.6 Page: 48ms Template: 4ms
English
Bahasa Indonesia Deutsch English Español Français Gaeilge Italiano Latviešu Magyar nyelv Nederlands Polski Português de Portugal Português do Brasil Suomi Svenska Türkçe Čeština Ελληνικά Български Русский Українська فارسی മലയാളം 日本語 简体中文 繁體中文(台灣) 繁體中文(香港) 한국어
Licenses API